| |
|---|---|
| (点击题目可以在互联网中搜索该题目的相关内容) 日期:2006-10-17 23:42:09 来源:工控博客_PLC和变频器 作者: 点击: | |
|
一、什么是 PID? PID 代表Proportional-Integral-Differential,即比例积分微分,指的是一项流行的线性控制策略。 在 PID控制器中,错误信号(受控系统期望的温度与实际温度之间的差值)在加到温度控制电源驱动电路之前先分别以三种方式(比例、积分和微分)被放大。比例增益向错误信号提供瞬时响应。积分增益求出错误信号的积分,并将错误减低到接近零的水平,积分增益还有助于过滤掉实测温度信号中的噪音。微分增益使驱动依赖于实测温度的变化率,正确运用微分增益能缩短响应定位点改变或其它干扰所需的稳定时间。 然而,在许多情况下,比例积分(PI: Proportional-Integral,没有微分增益)控制策略也可以产生满足要求的结果,而且通常要比完全的 PID控制器更容易调整到稳定的运行状态,并获得符合要求的稳定时间。 二、PID调节概念及基本原理 目前工业自动化水平已成为衡量各行各业现代化水平的一个重要标志。同时,控制理论的发展也经历了古典控制理论、现代控制理论和智能控制理论三个阶段。智能控制的典型实例是模糊全自动洗衣机等。自动控制系统可分为开环控制系统和闭环控制系统。 一个控制系统包括控制器﹑传感器、变送器、执行机构、输入输出接口。控制器的输出经过输出接口、执行机构,加到被控系统上;控制系统的被控量,经过传感器,变送器,通过输入接口送到控制器。 不同的控制系统,其传感器、变送器、执行机构是不一样的。比如压力控制系统要采用压力传感器。电加热控制系统的传感器是温度传感器。 目前,PID控制及其控制器或智能PID控制器(仪表)已经很多,产品已在工程实际中得到了广泛的应用,有各种各样的PID控制器产品,各大公司均开发了具有PID参数自整定功能的智能调节器(Intelligent regulator),其中PID控制器参数的自动调整是通过智能化调整或自校正、自适应算法来实现。有利用PID控制实现的压力、温度、流量、液位控制器,能实现PID控制功能的可编程控制器(PLC),还有可实现PID控制的PC系统等等。 可编程控制器(PLC) 是利用其闭环控制模块来实现PID控制,而可编程控制器(PLC)可以直接与ControlNet相连,如Rockwell的PLC-5等。还有可以实现PID控制功能的控制器,如Rockwell 的Logix产品系列,它可以直接与ControlNet相连,利用网络来实现其远程控制功能。 1、开环控制系统 开环控制系统(Open-loop control system)是指被控对象的输出(被控制量)对控制器(Controller)的输出没有影响。在这种控制系统中,不依赖将被控量反送回来以形成任何闭环回路。 2、闭环控制系统 闭环控制系统(Closed-loop control system)的特点是系统被控对象的输出(被控制量)会反送回来影响控制器的输出,形成一个或多个闭环。闭环控制系统有正反馈和负反馈,若反馈信号与系统给定值信号相反,则称为负反馈(Negative Feedback),若极性相同,则称为正反馈,一般闭环控制系统均采用负反馈,又称负反馈控制系统。闭环控制系统的例子很多。比如人就是一个具有负反馈的闭环控制系统,眼睛便是传感器,充当反馈,人体系统能通过不断的修正最后作出各种正确的动作。如果没有眼睛,就没有了反馈回路,也就成了一个开环控制系统。另例,当一台真正的全自动洗衣机具有能连续检查衣物是否洗净,并在洗净之后能自动切断电源,它就是一个闭环控制系统。 3、阶跃响应 阶跃响应是指将一个阶跃输入(Step function)加到系统上时系统的输出。稳态误差是指系统的响应进入稳态后﹐系统的期望输出与实际输出之差。控制系统的性能可以用稳、准、快三个字来描述。稳是指系统的稳定性(Stability),一个系统要能正常工作,首先必须是稳定的,从阶跃响应上看应该是收敛的﹔准是指控制系统的准确性、控制精度,通常用稳态误差来(Steady-state error)描述,它表示系统输出稳态值与期望值之差﹔快是指控制系统响应的快速性,通常用上升时间来定量描述。 4、PID控制的原理和特点 在工程实际中,应用最为广泛的调节器控制规律为比例、积分、微分控制,简称PID控制,又称PID调节。PID控制器问世至今已有近70年历史,它以其结构简单、稳定性好、工作可靠、调整方便而成为工业控制的主要技术之一。当被控对象的结构和参数不能完全掌握,或得不到精确的数学模型时,控制理论的其它技术难以采用时,系统控制器的结构和参数必须依靠经验和现场调试来确定,这时应用PID控制技术最为方便。即当我们不完全了解一个系统和被控对象﹐或不能通过有效的测量手段来获得系统参数时,最适合用PID控制技术。PID控制,实际中也有PI和PD控制。PID控制器就是根据系统的误差,利用比例、积分、微分计算出控制量进行控制的。 (1)、比例(P)控制 比例控制是一种最简单的控制方式。其控制器的输出与输入误差信号成比例关系。当仅有比例控制时系统输出存在稳态误差(Steady-state error)。 (2)、积分(I)控制 在积分控制中,控制器的输出与输入误差信号的积分成正比关系。对一个自动控制系统,如果在进入稳态后存在稳态误差,则称这个控制系统是有稳态误差的或简称有差系统(System with Steady-state Error)。为了消除稳态误差,在控制器中必须引入“积分项”。积分项对误差取决于时间的积分,随着时间的增加,积分项会增大。这样,即便误差很小,积分项也会随着时间的增加而加大,它推动控制器的输出增大使稳态误差进一步减小,直到等于零。因此,比例+积分(PI)控制器,可以使系统在进入稳态后无稳态误差。 (3)、微分(D)控制 在微分控制中,控制器的输出与输入误差信号的微分(即误差的变化率)成正比关系。 自动控制系统在克服误差的调节过程中可能会出现振荡甚至失稳。其原因是由于存在有较大惯性组件(环节)或有滞后(delay)组件,具有抑制误差的作用,其变化总是落后于误差的变化。解决的办法是使抑制误差的作用的变化“超前”,即在误差接近零时,抑制误差的作用就应该是零。这就是说,在控制器中仅引入“比例”项往往是不够的,比例项的作用仅是放大误差的幅值,而目前需要增加的是“微分项”,它能预测误差变化的趋势,这样,具有比例+微分的控制器,就能够提前使抑制误差的控制作用等于零,甚至为负值,从而避免了被控量的严重超调。所以对有较大惯性或滞后的被控对象,比例+微分(PD)控制器能改善系统在调节过程中的动态特性。 5、PID控制器的参数整定 PID控制器的参数整定是控制系统设计的核心内容。它是根据被控过程的特性确定PID控制器的比例系数、积分时间和微分时间的大小。PID控制器参数整定的方法很多,概括起来有两大类:一是理论计算整定法。它主要是依据系统的数学模型,经过理论计算确定控制器参数。这种方法所得到的计算数据未必可以直接用,还必须通过工程实际进行调整和修改。二是工程整定方法,它主要依赖工程经验,直接在控制系统的试验中进行,且方法简单、易于掌握,在工程实际中被广泛采用。PID控制器参数的工程整定方法,主要有临界比例法、反应曲线法和衰减法。三种方法各有其特点,其共同点都是通过试验,然后按照工程经验公式对控制器参数进行整定。但无论采用哪一种方法所得到的控制器参数,都需要在实际运行中进行最后调整与完善。现在一般采用的是临界比例法。利用该方法进PID控制器参数整定的步骤如下: (1)首先预选择一个足够短的采样周期让系统工作; (2)仅加入比例控制环节,直到系统对输入的阶跃响应出现临界振荡,记下这时的比例放大系数和临界振荡周期; (3)在一定的控制度下通过公式计算得到PID控制器的参数。 三、PID调节功能简介 1、比例调节器 比例调节器是最简单的一种控制系统器结构,如图1 图1 比例调节器 图1中,x为给定值;y为输出值;e为偏差;e=x-f;u为控制量 其中u0为控制常量(e=0的控制作用)。Kp为比例系数,它决定控制作用的强弱,有偏差才有控制作用u。只有e变化,u才变化。 比例调节器的特点是简单、快速。缺点是对具有自平衡性的控制对象有静差,另一个缺点是对有滞后(惯性)的系统,可能产生震荡。动态特性也差。 2、比例积分调节器(PI) 比例调节器具有静差,为了解决此问题,可引入积分环节。如图2 图2 比例积分调节器 它的控制输出:
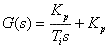
Ti微积分常数。Ti越大,积分作用越弱。传递函数为: 当e固定时,积分环节有累加e的作用,使u越来越大,可减小静差。即使当e比较小,过一段时间(由Ti决定)u仍将增大,使系统输出增大到所要求得值。积分控制可提高系统的抗干扰能力,减小静差。适用于有自平衡性的系统,但它有滞后现象,使系统响应速度变慢。超调量变大,也可能产生振荡。 3、比例微分调节器(PD) 在比例调节器的基础上增加微分(Difference)环节,可减小超调,使系统趋于稳定。 如图3
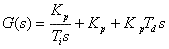
图3 比例微分调节器 它的控制输出: Td为微分常数;Td越大,微分作用越强。 传递函数为: 500)this.width=500>
比例微分调节器对误差的任何变化,都产生一个控制作用ud,阻止误差的变化。e变化越快,ud越大,输出校正量也越大。它有助于减少超调,克服震荡,使系统趋于稳定。同时,加快系统的响应速度,见效调整时间,从而改善了系统的动态特性。它的缺点是抗干扰能力变差。 4、PID调节器 PID调节器包含有比例器、积分器、微分器。 积分器能消除静差,提高精度,但使系统的响应速度变慢,稳定性变坏。微分器能增加稳定性,加快响应速度。比例器为基本环节。PID调节器如图4。 图4 PID调节器 三者和用选择适当的参数,可实现稳定的控制。PID调节器的控制输出为: 传递函数为: 四、PID调节——控制系统的分类 自本世纪30年代以来,自动化技术获得了惊人的成就,已在工业生产和国民经济各行业起着关键的作用。自动化水平已成为衡量各行各业现代化水平的一个重要标志。同时,控制理论的发展也经历了古典控制理论、现代控制理论和智能控制理论三个阶段。 古典控制最早和最典型的实例是蒸汽机的离心式飞锤调速器控制﹔现代控制的典型的实例是火炮的控制﹐阿波罗登月的实现﹔智能控制的实例有模糊全自动洗衣机等等。 自动控制系统可分为开环控制系统和闭环控制系统。 1、控制系统的结构 一个控制系统包括控制器﹑传感器﹑变送器﹑执行机构﹑输入输出接口,见图1。控制器的输出经过输出接口、执行机构﹐加到被控系统上﹔控制系统的被控量﹐经过传感器﹐变送器﹐通过输入接口送到控制器。不同的控制系统﹐其传感器﹑变送器﹑执行机构是不一样的。比如一个电加热炉控制系统﹐被控制量是温度﹐传感器是温度传感器。压力控制系统要采用压力传感器。
图1 2、开环控制系统 开环控制系统(open-loop control system)是指被控对象的输出(被控制量)对控制器(controller)的输出没有影响,如图2所示。在这种控制系统中,不依赖将被控量反送回来以形成任何死循环回路。开环控制系统的例子很多,比如:汽车引擎的空转速率控制系统﹔一般的洗衣机,它的洗衣时间完全由人为操作来判断与估计。 图2 图中扰动量是指系统的干扰(disturbance),给定量是指系统的参考输入(reference input),被控制量是指被控对象的输出,控制信号是指控制器的输出。 |
|
| 上一篇: PID控制专题(续) 下一篇: 变压器额定电流计算公式 |







500)this.width=500>



