点击【
大 中
小 】,可以选择字体的大小,以便你阅读.
1 引言
由于以太网通信速率不断提高和交换技术快速发展,解决了以太网的不确定性,消除了以太网应用于现场控制领域的障碍,不少人认为引入以太网技术是现场总线技术发展的一个必然趋势。文献[1]运用排队论中的m/M/1排队系统模型,对轻负荷Ethernet进行建模,定义了最小可能概率和微小概率,提出了计算网络最大延时的方法,并指出轻负荷以太网具有满足现场控制要求的实时性。本文对文献[1]中的网络最大延时算法进行必要的补充,同时计算网络负荷大小对网络实时性的影响。
2 轻负荷以太网产生冲突的概率
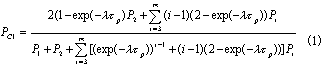
不失一般性,假设以太网中有m个智能终端,每个终端的数据帧平均到达率为λ,单个终端的业务量为u,数据帧在网络中平均传输时间为τ,网络中标准传播时延为τP。用m/M/1模型对轻负荷进行建模,容易计算出处于平衡状态的系统中含有i个数据帧的概率Pi的大小。为了便于数学描述,这里仅讨论某一终端发送数据帧时可能产生冲突的概率。当某一终端发送数据帧时,系统中含有的数据帧的数目必然是一个或一个以上。当系统中仅有一个数据帧时,发送数据帧,一定不会发生冲突,也就是说该条件下,发生数据帧成功的概率为P1;当系统中含有两个数据帧时,仅在这两个数据帧发送的时间差不大于τP ,才会产生冲突,而根据泊松过程的定义可知这两个数据帧相继在τP 内发送的概率为1-exp(-λτP),其数值极小,因此,在该条件下,可以认为发送数据帧成功的概率是exp(-λP)P2,而产生冲突的概率为2(1-exp(-λτP ))P2;当系统中含有三个数据帧时,能够成功发送数据帧的概率为(exp(-λτP))2P3(与P1相比较,其大小可以忽略),而产生冲突的概率为2(2-exp(-λτP))P3;依次类推,当系统中含有i(i≥3)个数据帧时,能够成功发送数据帧的概率为(exp(-λτP))i-1Pi(与P1相比较,其大小可以忽略),而产生冲突的概率为(i-1)(2-exp(-λτP ))Pi。由条件概率可知,发送一个数据帧可能发生冲突的概率PC1可表示为

简化后可得

这里用PC1表示一次冲突概率。由CSMA/CD协议可知,一个数据帧可能连续发生多次冲突。一个数据帧连续发生两次冲突的概率定义为二次冲突概率,用PC2来表示。同样,可以依次定义三次冲突概率、四次冲突概率、…、十六次冲突概率,分别用PC3,PC4,…,PC16来表示。
现在让我们来讨论一下,这些多次冲突概率与那些因素有关。以二次冲突概率为例,其大小与两个方面有关:(1)由CSMA/CD的冲突退避算法可知,当两个或两个以上的数据帧发生了一次冲突后,如果有两个或多个数据帧延时的时间相同,那么必然会发生二次冲突,而它们延时时间相同的概率与冲突退避算法中随机数R的范围有关。假设R是1~10之间的随机整数,那么它们延时的时间相同的概率就是1/10,则二次冲突概率为0.1PC1;(2)冲突延时后的数据帧A与新产生的数据帧(包含不是和数据帧A而是和其他数据帧发生冲突,延时后的数据帧)发生冲突,由于冲突延时是随机的,故我们还可以把数据帧A到达认为泊松到达,这样,数据帧A与新产生的数据帧发生冲突的概率就是PC1,所以由概率知识可知,这种因素产生二次冲突概率为PC12。综合这两方面的影响,由于轻负荷以太网的一次冲突概率比较小,很容易知道,第一方面影响是主要的,决定性的,而第二方面影响是次要的。
定义一 我们把一次冲突概率和二次冲突概率的比值,称为冲突概率系数,用c来表示,则

式中Rmax表示冲突退避算法中的随机数R的最大值。同理,N次冲突概率和N+1次冲突概率的比值也同样满足定义一,相邻两次冲突概率的比值也为c。于是我们就可以得到N次冲突概率PCN为