点击【
大
中 小 】,可以选 择字 体的大小,以便 你阅读.
晶闸管在电机软启动领域中的选择与应用
一 晶闸管产品特点简介
从本世纪 50 年代我国生产晶闸管器件问世以来 经历了 50 多年的历史 刚开始时 由于制
造工艺水平不成熟 性能很不稳定 那时有人称之为 可怕硅 现在随着制造水平的提高 各种性
能相当稳定 已朝着大电流 3000A 以上 高电压 6000V 以上 方向发展
英文为 Thyristor,也称为可控硅 Silicon Controlled Rectifier 它是一种具有 P-N-P-N
四层三个 PN 结的功率半导体器件 它有三个电极 阳极 A 阴极 K 控制门极 G 是一种电
流控制型器件 要使其导通必须具备两个条件 一是阳极电位高于阴极电位 即正偏置 二是控制
门极施加足够功率和宽度的触发脉冲信号 晶闸管具有如下特点 导通后即使控制门极触发信号撤
去 只要流过器件的正向电流大于维持电流 一般几十个毫安 它还能导通 也就是说通过关断触
发信号来关断晶闸管是不行的 这点与 IGBT GTR MOSFET 不同 要想关断它 必须将维持导通的
电流减小至维持电流以下 因此有时需要进行强迫关断,即在需关断时,对它施加反偏置电压(即反
压) 直至其关断
相对其他功率器件 晶闸管因其具有低的导通压降 过流能力强 耐冲击 耐高压 所以在
各种不同类型的电力电子变换装置中被广泛使用 交流电机软启动就是一个典型的应用
二 晶闸管参数说明
作为使用者来说 要正确使用晶闸管 首先就要对晶闸管的各项电气参数有一个详细的了解
这样就可以正确地选型 但往往在实际工作中 大多数人并不完全了解 如晶闸管额定电流标称的
是平均值概念 实际工作中负载标称的额定电流是有效值 两者之间是有根本区别的 因此有必要
对几个主要参数作出一些说明
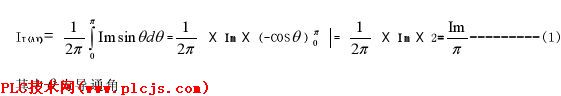
晶闸管额定电流平均值 IT(AV) IF(AV)

从图 a 中可以计算出额定通态电流平均值 IT(AV)和正弦半波电流峰值 Im 之间数学表达式为:

1 单只晶闸管额定通态电流方均根值(即有效值) IRMS
π
2 1 2 2 2 2
I RMS= I msin θ dθ = x I T(AV)/4
∫
2π
0
IRMS =1.57 x IT(AV)-----------------------------------------(2)
2 两只单独封装的晶闸管反并联交流有效值:IRMS
如图 b 两只独立封装可控硅反并联后形成一个双向可控硅 因双向可控硅晶闸管额
定电流不能用平均值标称 因流过的电流为交流电 平均值为零 所以只能用交流有效
值 IRMS 标称
由公式(1) 每个晶闸管通过的半波峰值均为 Im= IT(AV) 正负两个半波刚好组成
一个完整的正弦波 该正弦波峰值为 x IT(AV) 所以流过 MTX 模块的额定有效值(方均
根值)
π ×IT(AV)
IRMS= =2.22 IT(AV)--------------------------------(3)
2
3 MTX 型号模块交流有效值 IRMS